Errors in Robert Sapolsky's "Behave" Chapter 6
Fake teenage brain stuff from 2017 NYT bestseller
My wife got me Robert Sapolsky’s Behave (written in 2017) for Christmas, and in there he has a chapter called Adolescence; or, Dude, Where’s My Frontal Cortex. If you’ve read my first book, you know how this is going to go. Sapolsky’s chapter reads as if it was written by one of those mid-2000s “teen brain” activist-scientists.
Sapolsky writes:
This chapter’s key fact is that the final brain region to fully mature
(in terms of synapse number, myelination, and metabolism) is the frontal
cortex, not going fully online until the mid-twenties.
For this he cites R. Knickmeyer et al. 2008: “A Structural MRI Study of Human Brain Development from Birth to 2 Years”. Bizarrely, Jay Giedd and friends did something perfectly analogous to this in 2005 in their pamphlet to prevent teen pregnancy (activists!)
In my book, I showed that this claim was false and based on a citation that refers to infants:
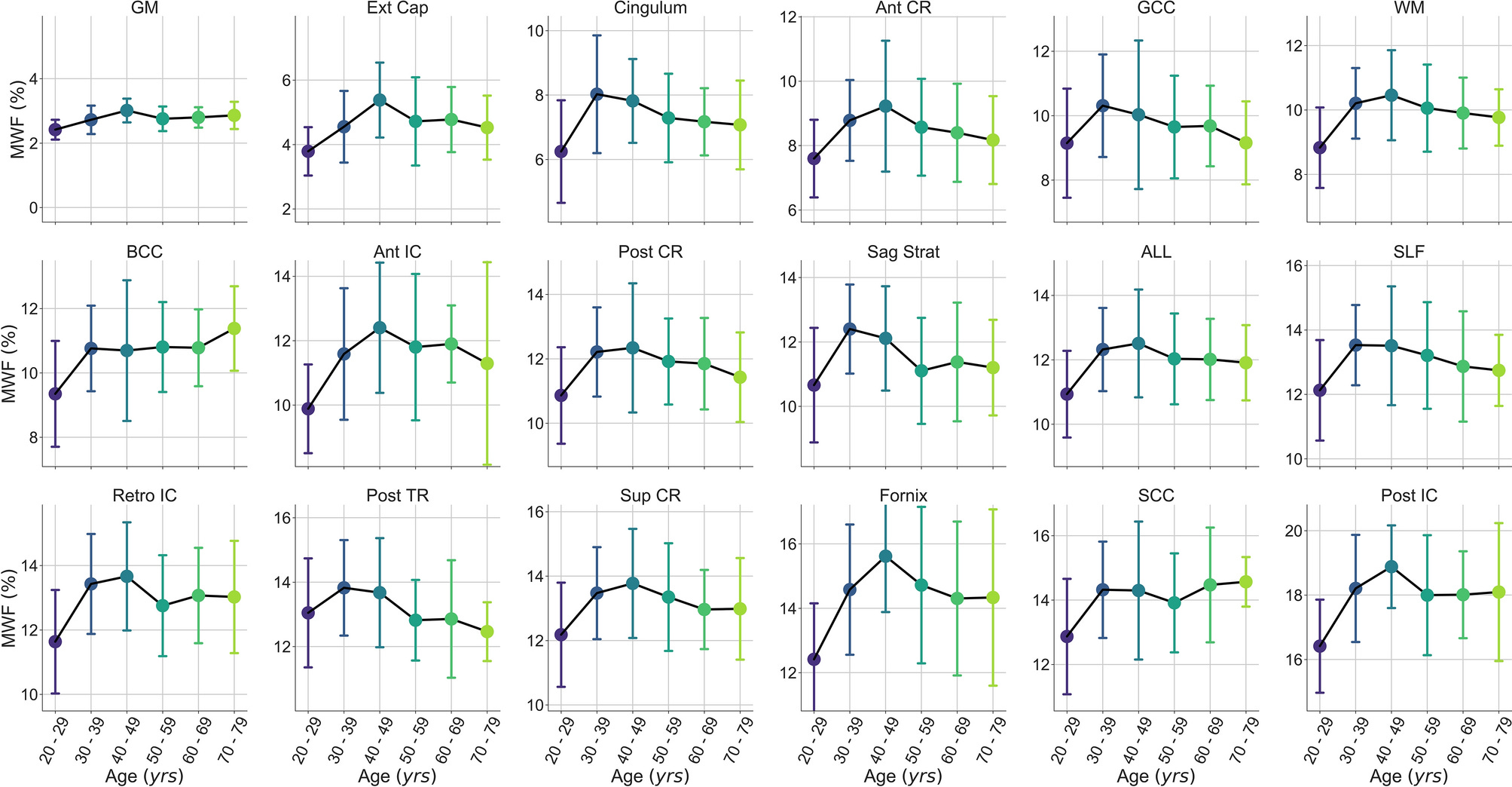
The actual data shows that myelination continues into the 40s for most parts of the brain. Below, GCC, Ant CR, and Ant IC are in the frontal lobe area:

Here’s another with multiple myelin measures and scatterplots so you can see how development after the age of 20 really relates to aging after the age of 60 in magnitude:
FL is frontal lobe and as you see there is no line drawn in the mid twenties. From my book, the teenage slope is not noticeably larger than the 20-something slope. The brain is mostly developed at 15 and myelinates into the 40s.
Back to Sapolsky:
This has two screamingly important implications. First, no part of the
adult brain is more shaped by adolescence than the frontal cortex.
The occipital lobe has more development from 20 to 40 than the frontal lobe on the MWF measurement. I guess adolescent vision isn’t working yet? Adolescent eyes, a work in progress?
Second, nothing about adolescence can be understood outside the context of delayed frontocortical maturation
An embarrassingly overconfident thing to say when your basis is nothing of substance.
we’ve just explained why adolescents are so frustrating, great, asinine, impulsive, inspiring, destructive, self-destructive, selfless, selfish, impossible, and world changing.
I wrote my book as a teenager, but now I’m in my mid-twenties, and I can say that both in my teenaged experience, and my present experience, these stereotypes are completely ridiculous.
Think about this—
adolescence and early adulthood are the times when someone is most likely to kill, be killed, leave home forever, invent an art form, help overthrow a
dictator, ethnically cleanse a village, devote themselves to the needy, become addicted, marry outside their group, transform physics, have hideous fashion taste, break their neck recreationally, commit their life to God, mug an old lady, or be convinced that all of history has converged to make this moment the most consequential, the most fraught with peril and promise, the most demanding that they get involved and make a difference. In other words, it’s the time of life of maximal risk taking, novelty seeking, and affiliation with peers. All because of that immature frontal cortex.
I feel like most of these fit my present age group better than teenagers? It seems like he’s just describing things elderly people don’t have (vitality, energy, testosterone), falsely correlating them with the frontal lobe, and the arbitrarily claiming teenagers are defined that way. But this is a better way to describe people aged 21 to 35. In fact, a lot of age-crime curves, basically ones that are not from the USA between 1970 and 1999, show that 20-somethings are actually more violent than teenagers.
People that are not elderly have higher vril, probably due to sex hormones, reproductive instinct, and less physical ageing (hard to be violent when you have an enlarged prostate and need a back surgery and you’re always tired). This applies hopefully to healthy people until as late as the age of 40. I know this is hard to understand with the backwards American population period. Everyone now is old. We’re dominated by old people.
Once you understand that, you can ask about teenagers, (i.e. “adolescents”) specifically. In what ways are they unique when compared to other people who are not elderly? The answer is that they are not that unique, but insofar as they are, they are just more childish. Not violent, or risk-taking, or domineering, or zealous, but more like 9 year olds than they will be in 5 more years. Specifically they seem to like to play more, they are weaker, they are smaller along most horizontal measurements even after they stop growing vertically, and they are more fearful of things like the dark and in general. This makes sense because they are just the age group in between 20-somethings and little children. However, after the age of 14 or 15 they are closer to 20-somethings than children of an equal age-distance because puberty development (ages 11 to 15 usually) involves a sigmoid function.
It’s like walking up a steep hill for 5 miles or on flat terrain for 5 miles. Which is harder?
Back to Sapolsky, he goes on to discuss gray matter. He repeats the misconceptions I debunk in my book, namely that pruning somehow hits a critical point during the teens or 20s. Rather, pruning continues into old age.
In the next section, he writes:
In the foothills of the Sierras are California Caverns, a cave system that
leads, after an initial narrow, twisting 30-foot descent down a hole, to an
abrupt 180-foot drop (now navigable by rappelling). The Park Service has
found skeletons at the bottom dating back centuries, explorers who took one step too far in the gloom. And the skeletons are always those of adolescents.
I thought, hey, everyone gets in accidents, so adolescent overrepresentation is maybe plausible, but saying that all the skeletons were adolescent sounds wrong. Most modern dead cavers are young men. Sure enough, there were 11 people founds, 9 adults and 2 children. 1 was a 12-15 year old girl.
I will stop here for now because it doesn’t seem like he’s even trying to be accurate. If you don’t want to miss a part 2, make sure you subscribe:










Have you seen this new study that news outlets such as the BBC have been writing about, saying that adolescence lasts until 32?
Excellent work.